3 tipos de fotómetros para medir la intensidad luminosa | Instalaciones Eléctricas Residenciales

3 tipos de fotómetros para medir la intensidad luminosa

2012/02/20

Los fotómetros son aparatos que permiten comparar intensidades luminosas aplicando el principio de iluminación.

Instalaciones eléctricas residenciales - Fórmula de iluminación

En esta ocasión hablaremos de 3 tipos de fotómetros:
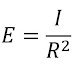
  1. Fotómetro de Rumford. Sobre una pantalla P se producen dos sombras S₁, S₂ del objeto O por dos fuentes Iᵤ (unidad) y Iₓ (intensidad desconocida). Sirviéndonos del sentido de la vista movemos Iₓ hasta que las sombras se vean iguales. Entonces se miden R₁ y R₂ y se aplica la fórmula de la iluminación que es la misma para los dos focos:

    Instalaciones eléctricas residenciales - Fotómetro de Rumford

  2. Fotómetro de Bunsen. Utiliza una pantalla translúcida P que tiene una mancha de grasa G. La pantalla se mueve entre la lámpara unidad I y la lámpara desconocida I, hasta que la grasa quede igualmente iluminada por ambos lados. Entonces se mide R₁ y R₂ y se aplica la fórmula de iluminación de igual manera a los dos focos:

    Instalaciones eléctricas residenciales - Fotómetro de Bunsen


    En general, para dos lámparas luminosas de intensidad I₁, I₂ y produciendo igual cantidad de iluminación sobre una superficie a R₁ y R₂ de distancia respectivamente, el principio de la fotometría queda así:

    Instalaciones eléctricas residenciales - Fórmula de iluminación para fotómetro de Bunsen

  3. Exposímetro. Para medir directamente la iluminación, los fotógrafos utilizan los exposímetros, que tienen sustancias que producen electricidad con la luz (efecto fotoeléctrico). El equipo mide la corriente eléctrica producida pero dando la lectura directamente en unidades de iluminación: lux.

    Instalaciones eléctricas residenciales - Exposímetro
Si te gustó el artículo, tengo un anuncio que te puede interesar 👇
Oferta Master Class Principios de Instalaciones Eléctricas - Instalaciones Eléctricas Residenciales

No hay comentarios.:

Publicar un comentario

instalaciones

eléctricas

residenciales

Uso cookies para darte un mejor servicio.
Mi sitio web utiliza cookies para mejorar tu experiencia. Acepto Leer más