mayo 2013 | Instalaciones Eléctricas Residenciales

Páginas

2013/05/31

5 tipos de subestaciones eléctricas

Por su función, las subestaciones eléctricas se clasifican en:

  1. Subestaciones en las plantas generadoras o centrales eléctricas. Modifican los parámetros de la energía suministrada por los generadores para poder transmitirla en alta tensión. Los generadores pueden suministrar la potencia entre 5 y 25 kV. La transmisión depende del volumen, la energía y la distancia.

    Instalaciones eléctricas residenciales - Subestación en central generadora

  2. Subestaciones receptoras primarias. Reciben alimentación directa de las líneas de transmisión y reducen la tensión para alimentar los sistemas de subtransmisión o las redes de distribución. Pueden tener en su secundario tensiones de 115, 69, 34.5, 6.9 ó 4.16 kV.

    Instalaciones eléctricas residenciales - Subestación receptora primaria

  3. Subestaciones receptoras secundarias. Reciben alimentación de las redes de subtransmisión y suministran la energía a las redes de distribución a tensiones comprendidas entre 34.5 y 6.9 kV.



Por el tipo de instalación, se clasifican en:

  1. Subestaciones tipo intemperie. Son instalaciones de sistemas de alta y muy alta tensión generalmente, y están habilitadas para resistir las diversas condiciones atmosféricas.

    Instalaciones eléctricas residenciales - Subestación tipo intemperie

  2. Subestaciones tipo blindado. Son una variante del tipo interior, se instalan en edificios que disponen de espacios reducidos para alojarlas. Sus componentes deben estar bien protegidos.

    Instalaciones eléctricas residenciales - Subestación blindada

Los parámetros eléctricos a considerar para definir el tipo de construcción y los equipos y aparatos de las subestaciones son: la tensión que requiere la instalación, el nivel de aislamiento aceptable en los aparatos, la corriente máxima y la corriente de corto circuito.

Las tensiones del sistema eléctrico nacional, según lo reportado por CFE son:

  • Para transmisión: 161, 230 y 400 kV.
  • Para subtransmisión: 69, 85, 115 y 138 kV.
  • La red de distribución está integrada por las líneas de subtransmisión con los niveles mencionados anteriormente de 69, 85, 115 y 138 kV; así como las de distribución en niveles de 34.5, 23, 13.8, 6.6, 4.16 y 2.4 kV y baja tensión.
  • Para distribución en plantas industriales: 34.5 kV, 23 kV, 13.8 kV, 4.16 kV, 440 V, 220/127 V.

Entre los beneficios que proporcionan las subestaciones eléctricas podemos mencionar:

  1. Mayor seguridad en el suministro. Por lo general, la alimentación de las subestaciones proviene de líneas de alto voltaje que por estar protegidas hacen que la probabilidad de fallo sea menor. Por lo tanto, existe una mejor regulación del voltaje.

  2. Uso racional de energéticos. Al reducir las caídas de tensión, el uso de conductores de grueso calibre también disminuye, de modo que es posible tener voltajes de distribución de 440 V, 2300 V, 4160 V, etc., con los que habrá menos pérdidas.

  3. Economía. El costo del suministro de energía de alta tensión es más bajo que el de baja tensión. Además, la instalación de subestaciones en los grandes centros de consumo permite ahorrar materiales como cables y conductos.

Antes de diseñar una subestación, es necesario solicitar a la compañía proveedora de energía eléctrica datos como el nivel de voltaje disponible, la variación del nivel de voltaje, el punto de entrega del suministro y la ruta de la línea, la corriente de corto circuito trifásico y monofásico en el punto de suministro y las tarifas.

2013/05/30

Cálculo de una instalación eléctrica residencial monofásica de tres hilos

En una entrada anterior abordamos el tema del cálculo de una instalación monofásica de dos hilos (1 fase, 2 hilos, 120V~), en esta ocasión veremos cómo determinar el uso de una instalación monofásica de 3 hilos (1 fase, 3 hilos, 240V~) atendiendo los requerimientos de la NOM-001-SEDE vigente y las especificaciones de la CFE.

Tomaremos el ejemplo de un proyecto residencial en el que se desea dimensionar la instalación eléctrica con una carga total calculada de 9 kW.

Con base en la información de CFE, la especificación para el servicio monofásico de 2 hilos (120V~) es de una sola acometida para el suministro de energía de consumos no mayores de 5 kW. Cuando los requisitos de carga de una instalación sean superiores, se debe realiza ante CFE la contratación de un servicio llamado "aumento de carga". La instalación para recibir este servicio deberá cumplir con las especificaciones indicadas por la propia CFE, las cuales se abordarán en otra ocasión.

Volviendo al ejemplo del proyecto, si tenemos una carga calculada de 9 kW, consideramos un f.p.=0.9 y un f.d. =0.7 a una temperatura ambiente de 330.

Comencemos a hacer los cálculos.

De la ley de Watt, P= E x I x f.p., despejamos la corriente I= P/(E x f.p)

Sustituyendo con los datos del ejemplo: I = 9 kW / (120 V x 0.9) = 83.33 A

Ésta es la corriente total, pero como se está proyectando una instalación monofásica de 3 hilos (240V~), el valor de la corriente total se divide entre 2.

I = 83.33 A / 2 = 41.66 A

Aplicando el factor de demanda para esta corriente: I = I x f.d.

Sustituyendo: I = 41.66 A x 0.7 = 29.16 A

Usando nuevamente la tabla 310-16 de la NOM-001-SEDE vigente, buscamos el conductor tipo THW que se encuentra en la columna de 75º.

Instalaciones eléctricas residenciales - Tabla de capacidad de conductores por temperatura

El conductor es calibre 10 con 35 A de conducción, y con un buen margen de seguridad, sin embargo, la tabla indica que estos valores son para temperatura ambiente de 30º, de modo que debemos aplicar el factor de corrección que se muestra en la segunda sección de la tabla 310-16. De aquí seleccionamos el factor de corrección correspondiente, dependiendo de la temperatura ambiente que tenemos.

Esta tabla nos indica que para temperatura ambiente distinta a 30 ºC, se debe aplicar el factor de corrección a la capacidad de conducción de la corriente seleccionada anteriormente. Entonces, si la capacidad de conducción del conductor THW calibre 10 a 75 ºC fue de 35 A, al aplicar el factor de corrección obtenemos una capacidad de conducción real (IRC).

IRC = 35 A x 0.94 = 32.9 A.

Resulta evidente que existe una disminución real de la conducción de corriente para cualquier conductor a temperatura ambiente distinta a 30 ºC.

Comparando la IRC y la I, verificamos que la conducción del conductor calibre 10 cubre la corriente I, así que es correcto para el alimentador principal.

Como sabemos, es importante considerar el factor de agrupamiento porque al alojarse los conductores juntos en la tubería se genera calor, y entre mayor corriente circule mayor será el calentamiento (efecto Joule).


Supongamos que por cualquier tramo de la tubería están alojados los 2 conductores que son los alimentadores principales correspondientes a las fases calibre 10 y el neutro en calibre 8, pero además están alojados otros 6 conductores en calibre 12. Como el total del número de conductores es 9, tenemos que consultar la tabla 310-15(g).

Instalaciones eléctricas residenciales - Tabla factor de ajuste por número de conductores

Por lo cual se utilizan dos conductores de fase, un conductor calibre 6 para el neutro a 75 ºC como temperatura máxima de operación. Si queremos colocar un conductor adicional para la conexión a tierra a todos los contactos y aparatos que lo requieran, tenemos que llevar un conductor calibre 10 en color verde desde el interruptor principal, considerando una protección con interruptores termomagnéticos de 30 A por fase, según tabla 250-95 de la Norma.

Por lo cual se utilizan dos conductores de fase, un conductor calibre 6 para el neutro a 75 ºC como temperatura máxima de operación. Si queremos colocar un conductor adicional para la conexión a tierra a todos los contactos y aparatos que lo requieran, tenemos que llevar un conductor calibre 10 en color verde desde el interruptor principal, considerando una protección con interruptores termomagnéticos de 30 A por fase, según tabla 250-95 de la Norma.

Instalaciones eléctricas residenciales - Factores de corrección por temperatura

Ahora calculemos el diámetro de la tubería tal como se hizo en el artículo anterior, es decir, considerando los 9 conductores más el conductor de tierra, serán 10 conductores: dos conductores de fase calibre 8, un conductor para el neutro calibre 6, un conductor de tierra calibre 10 y seis conductores calibre 12.

Sumando las áreas de los conductores:

Instalaciones eléctricas residenciales - Suma de áreas de conductores

Usamos la tabla 10-1 a para diámetros de tubería:

Instalaciones eléctricas residenciales - Factores de relleno en tubo conduit

Para más de dos conductores, el área de ocupación es del 40%, así que consultamos la tabla 10-4 correspondiente a las dimensiones de tubo conduit.

Instalaciones eléctricas residenciales - Dimensiones de tubos conduit

A diferencia del artículo anterior, ahora observamos que la designación 21, es decir, tubería de 3/4" que puede alojar sólo 137 mm², no cubre nuestra área calculada y que la designación 27 correspondiente a la tubería de 1" es la adecuada porque puede alojar 222 mm2. Después de esto podemos distribuir los circuitos repartiendo la carga de manera uniforme para asegurar un buen balance de las cargas.

2013/05/29

La principal aplicación de los circuitos trifásicos

Instalaciones eléctricas residenciales - Distribución aérea trifásica

Los sistemas reales de interconexión eléctrica se instalan disponiéndose en configuraciones trifásicas, bifásicas, monofásicas y en algunos casos hexafásicas, así que debemos aprender algunos conceptos que nos faciliten su entendimiento.

Un sistema polifásico es una serie de conexiones que requieren cierto número de conductores que transportan la energía en forma de corriente alterna a un nivel de tensión específico, para ello es necesario conocer las características de cada caso. En este artículo trataremos únicamente el sistema trifásico, teniendo en cuenta que es uno de los más comunes en nuestro país y en el desarrollo de nuestra actividad.

Antes de continuar con la explicación de los conceptos básicos de los circuitos trifásicos, hablaremos un poco de su historia, describiremos la operación de una central hidroeléctrica y mencionaremos los conceptos técnicos que definen al elemento encargado de hacer la conversión de energía, así como los parámetros de un circuito trifásico; el uso de estos sistemas será tema que trataremos en próximos números de esta revista. Comencemos entonces con un poco de historia.

En 1882, el inventor servio-americano Nikola Tesla, descubrió el principio del campo magnético rotatorio, el cual hizo posible la invención de la maquinaria de corriente alterna. El descubrimiento del campo magnético rotatorio producido por las interacciones de corrientes de dos y tres fases en un motor fue uno de sus más grandes logros y sirvió como base para la creación del motor de inducción y del sistema polifásico de generación y distribución de electricidad.

Gracias a esto, grandes cantidades de energía eléctrica pueden ser generadas y distribuidas eficientemente a lo largo de grandes distancias, desde las plantas generadoras hasta las poblaciones a las que alimentan. Hasta estos días se sigue utilizando la forma trifásica del sistema polifásico de Tesla para la transmisión de la electricidad, además, la conversión de electricidad en energía mecánica es posible gracias a las versiones mejoradas de los motores trifásicos de Tesla.

La principal aplicación para los circuitos trifásicos se encuentra en la distribución de la energía eléctrica por parte de la compañía de luz a la población. Nikola Tesla probó que la mejor manera de producir, transmitir y consumir energía eléctrica era usando circuitos trifásicos.

En Mayo de 1885 George Westinghouse, cabeza de la compañía de electricidad Westinghouse, compró las patentes del sistema polifásico de generadores, transformadores y motores de corriente alterna de Tesla.

En octubre de 1893 la comisión de las Cataratas del Niágara otorgó a Westinghouse un contrato para construir la planta generadora en las cataratas, la cual sería alimentada por los primeros dos de los diez generadores que Tesla diseñó. Dichas dinamos de 5000 caballos de fuerza eran las más grandes hasta ese momento construidas. General Electric registró algunas de las patentes de Tesla y consiguió un contrato para construir 22 millas de líneas de transmisión hasta Búfalo. Para este proyecto se utilizó el sistema polifásico de Tesla. Los primeros tres generadores de corriente alterna en el Niágara se pusieron en marcha el 16 de noviembre de 1896.

En algún momento hemos escuchado el término generación y de alguna manera tenemos una idea de su significado y funcionamiento, así que sin ahondar mucho en conceptos técnicos, describiremos la generación de energía eléctrica en una central hidroeléctrica.

Como sabemos, la mayor cantidad de la energía producida en México se deriva de las centrales hidroeléctricas, que son más de 60 en todo el país. La tecnología de las principales instalaciones se ha mantenido igual desde el siglo pasado. Las centrales dependen de un gran embalse de agua contenido en una presa. El caudal de agua se controla y se puede mantener casi constante.

El agua se transporta por unos conductos o tuberías forzadas, controlados con válvulas y turbinas para adecuar el flujo de agua a la demanda de electricidad. El agua que entra en la turbina sale por los canales de descarga. Los generadores están situados justo encima de las turbinas y conectados con árboles verticales. El diseño de las turbinas depende del caudal de agua; las turbinas Francis se utilizan para caudales grandes y saltos medios y bajos, y las turbinas Pelton para grandes saltos y pequeños caudales.

Además de las centrales situadas en presas de contención que dependen del embalse de grandes cantidades de agua, existen algunas centrales que funcionan con la caída natural del agua de caudal uniforme, éstas se denominan centrales de agua fluente, de este tipo es la central de las Cataratas del Niágara.

Dentro de la central generadora, el elemento que realiza la conversión de energía mecánica a eléctrica es el generador, cuya operación se describe de la siguiente manera:

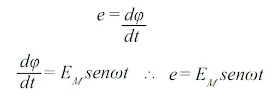
La conversión comienza al hacer girar una espira rígida con velocidad constante (ω) dentro de un campo magnético uniforme, el flujo (φ) que corta la espira tendrá una variación senoidal y, en consecuencia, se induce una fuerza electromotriz (FEM) de forma senoidal; a este conjunto de elementos se le conoce como generador.

Instalaciones eléctricas residenciales - Generador de corriente alterna

Para demostrar lo anterior desarrollaremos la ecuación:

φ = BS cos ωt

donde φ es el flujo magnético, B es el campo magnético, S es el vector superficie y cosωt es el ángulo debido a la velocidad angular (ω) en un tiempo (t).


De lo anterior podemos determinar la tensión e , con base en la siguiente relación y aplicando la derivada al flujo magnético.
Instalaciones eléctricas residenciales - Determinación de la tensión eléctrica en un sistema trifásico

De esta forma demostramos que el movimiento de la espira da como resultado una FEM senoidal.

Ahora bien, si en lugar de tomar una espira se toman tres espiras iguales y se montan en un mismo eje formando ángulos de 120º entre sí, al hacer girar las espiras con velocidad constante (ω) dentro del campo magnético, se inducirá en cada espira una FEM igual a:

    e1= EM senωt
    e2= EM senωt + 1200
    e3= EM senωt + 2400

Los ángulos de 120º y 240º se deben a la configuración de los devanados en el eje y con respecto a la primera espira. Por otro lado, la corriente se obtiene conectando una carga a cada espira, la forma de esta será también senoidal. Las expresiones matemáticas que se tienen son:

    i1= IMsen(ωt+φ1)
    i2= IMsen(ωt+1200+φ2)
    i3= IMsen(ωt+2400+φ3)

Donde φ es el desfase entre corriente y tensión en cada fase. El conjunto de estas tres corrientes o tensiones iniciales constituyen un sistema trifásico equilibrado de corrientes o tensiones.

Instalaciones eléctricas residenciales - Gráfica de un sistema trifásico

Esta configuración presenta varios inconvenientes, pues se necesita un complejo sistema de colectores y escobillas para poder recoger las tensiones producidas.

Actualmente los tres devanados se encuentran soportados en el estator, mientras que el rotor está imantado o lleva un electroimán para generar el campo magnético, este rotor es la parte móvil del alternador.

Los generadores modernos con los devanados soportados en el estator son más económicos y fiables que los alternadores antiguos. Los generadores cuyo rotor lleva un electroimán son alimentados con una fuente de corriente continua para activar el electroimán y poder generar el campo magnético.

Instalaciones eléctricas residenciales - Diagrama de generador trifásico

Como se puede observar en la imagen del generador, la distancia entre los centros de los devanados es de 120°, gracias a ello se obtienen tres señales alternas diferentes y distanciadas entre sí 120°:

A la salida del generador están las conexiones de las subestaciones elevadoras de voltaje, éste pasa directamente a la red de transmisión trifásica a través de conductores montados en torres, después llega a una subestación reductora y sale nuevamente a la red de distribución por conductores en postes hasta los transformadores que llevan la energía eléctrica a nuestros domicilios.

Si las cargas se encuentran distribuidas de manera balanceada las corrientes debidas a los voltajes del circuito también lo estarán, de esta forma se logra un circuito trifásico balanceado.

Así es como se genera la energía eléctrica por medio de una central hidroeléctrica. En próximas entradas trataremos lo correspondiente a los circuitos trifásicos de manera más detallada.

2013/05/28

Importancia de los dispositivos de protección eléctrica

Cuando escuchamos la frase "falla de energía eléctrica" rápidamente la asociamos con lámparas de alumbrado, aparatos electrodomésticos, bombas de agua, calefacción, etc., infinidad de actividades o servicios que no podríamos tener sin la energía eléctrica, pero ¿sabemos si el lugar donde habitamos tiene una adecuada protección eléctrica en caso de una falla? ¿Nuestro dispositivo de protección es el adecuado a fin de que ofrezca condiciones adecuadas de seguridad para las personas y sus propiedades?

Instalaciones eléctricas residenciales - Cartuchos fusibles

Iniciemos por explicar que los dispositivos de protección en una instalación eléctrica son los interruptores termomagnéticos, interruptores de falla a tierra, los fusibles o una combinación de ellos, y sus propósitos fundamentales son:

  • Proteger los conductores y el equipo instalado contra efectos excesivos de temperatura.

  • Proteger de una sobrecorriente (cualquier corriente eléctrica en exceso, la cual puede ser causada por una sobrecarga, un cortocircuito o una falla a tierra).

Estos dispositivos son los encargados de interrumpir la energía eléctrica en caso de falla en el sistema eléctrico, y una selección no adecuada del dispositivo pone en riesgo la seguridad de las personas y sus bienes.

Otro factor importante que hay que considerar para la seguridad eléctrica es que el dispositivo de protección sea original. La piratería de estos productos se encuentra principalmente en el comercio informal (tianguis, puestos callejeros, etc.); el adquirir un producto pirata puede ser causa de un incendio por calentamiento excesivo de los conductores, choque eléctrico, daño a los equipos eléctricos y electrónicos.

Los accidentes generalmente ocurren cuando tenemos exceso de extensiones eléctricas y se conectan infinidad de aparatos en ella, cuando el aislamiento de los conductores es dañado, cuando por accidente se introduce una parte metálica en un receptáculo; si a esto sumamos una inadecuada selección del dispositivo de protección o el uso de productos de dudosa calidad, puede resultar en un incendio o en una descarga eléctrica para las personas.


Para tener una seguridad eléctrica es necesario llevar a cabo una revisión de la instalación por personal calificado, donde se verifiquen los siguientes puntos principalmente:

  • La instalación fue diseñada conforme la norma de instalaciones eléctricas.

  • El dispositivo de protección es original y es el adecuado para esa instalación.

  • El calibre de los conductores fue bien dimensionado.

  • Las placas de los apagadores no se calientan.

  • No se utilizan extensiones permanentes.

Recuerda que los dispositivos de protección eléctrica (interruptores y fusibles) son un aspecto fundamental y crítico de las instalaciones eléctricas residenciales, asegúrate de tener los dispositivos adecuados y de calidad garantizada.

Instalaciones eléctricas residenciales - Interruptor termomagnético atornillable

¿Cuáles son las fallas eléctricas más comunes?
  1. Sobrecarga: Funcionamiento de un equipo excediendo su capacidad nominal, o de un conductor que excede su capacidad de conducción de corriente. Cuando tal funcionamiento persiste por suficiente tiempo, puede causar daños o sobrecalentamiento peligroso.

  2. Cortocircuito: Cuando es la falla en un aparato o línea eléctrica por la cual la corriente eléctrica pasa directamente del conductor activo o fase al neutro o tierra. El cortocircuito se produce normalmente por fallas en los aislamientos de los conductores.

  3. Falla a tierra: Ocurre cuando un aparato eléctrico es dañado o sus partes eléctricas están húmedas y el flujo de corriente eléctrica sale de los conductores del circuito.

¡No arriesgues tu vida y tu patrimonio!

2013/05/27

8 partes de las subestaciones eléctricas

Instalaciones eléctricas residenciales - Subestación eléctrica

Para que la energía eléctrica llegue a los distintos centros de consumo, recorre un largo camino que inicia en las centrales generadoras. Las subestaciones son uno de los subsistemas que conforman el sistema eléctrico, su función es modificar los parámetros de la energía para hacer posible su transmisión y distribución.

Las subestaciones eléctricas intervienen en la generación, transformación, transmisión y distribución de la energía eléctrica. Una subestación eléctrica está compuesta por dispositivos capaces de modificar los parámetros de la potencia eléctrica (tensión, corriente, frecuencia, etc.) y son un medio de interconexión y despacho entre las diferentes líneas de un sistema eléctrico.

Los elementos principales de una subestación son:

  1. Transformador. Es una máquina eléctrica estática que transfiere energía eléctrica de un circuito a otro conservando la frecuencia constante, opera bajo el principio de inducción electromagnética y tiene circuitos eléctricos que están enlazados magnéticamente y aislados eléctricamente.

  2. Interruptor de potencia. Interrumpe y restablece la continuidad de un circuito eléctrico. La interrupción se debe efectuar con carga o corriente de corto circuito.

  3. Restaurador. Es un interruptor de aceite con sus tres contactos dentro de un mismo tanque y que opera en capacidades interruptivas bajas. Los restauradores están construidos para funcionar con tres operaciones de recierre y cuatro aperturas con un intervalo entre una y otra; en la última apertura el cierre debe ser manual, ya que indica que la falla es permanente.


  4. Cuchillas fusibles. Son elementos de conexión y desconexión de circuitos eléctricos. Tienen dos funciones: una como cuchilla desconectadora, para lo cual se conecta y desconecta, y otra como elemento de protección. El elemento de protección lo constituye el dispositivo fusible que se encuentra dentro del cartucho de conexión y desconexión.

  5. Cuchillas desconectadoras y cuchillas de prueba. Sirven para desconectar físicamente un circuito eléctrico. Por lo general se operan sin carga, pero con algunos aditamentos se puede operar con carga hasta ciertos límites.

  6. Apartarrayos. Se encuentra conectado permanentemente en el sistema, descarga la corriente a tierra cuando se presenta una sobretensión de determinada magnitud. Su operación se basa en la formación de un arco eléctrico entre dos explosores cuando se alcanza el valor para el cual esta calibrado o dimensionado.

  7. Transformadores de instrumento. Existen dos tipos: transformadores de corriente (TC), cuya función principal es cambiar el valor de la corriente en su primario a otro en el secundario; y transformadores de potencial (TP), cuya función principal es transformar los valores de voltaje sin tomar en cuenta la corriente. Estos valores sirven como lecturas en tiempo real para instrumentos de medición, control o protección que requieran señales de corriente o voltaje.

  8. Barras o buses. Son las terminales de conexión por fase.

Instalaciones eléctricas residenciales - Diagrama de un sistema eléctrico
El sistema eléctrico está compuesto por las centrales generadoras, líneas de transporte, subestaciones, líneas de distribución y centros de consumo.

Los sistemas de una subestación son:

  • Sistema de protección contra sobrevoltaje y sobrecorriente
  • Sistema de medición y control
  • Sistema de barras colectoras o buses
  • Sistemas auxiliares: sistema de enfriamiento, filtrado de aceite, presión etc.

2013/05/24

Número de circuitos mínimos para una casa habitación

Instalaciones eléctricas residenciales - Electricista instalando centro de carga

Siguiendo los criterios establecidos en la NOM-001-SEDE vigente, en una casa habitación de hasta 90 m2, el numero de circuitos derivados mínimos a instalar es de 5. Estos circuitos son:

  1. Al menos 2 circuitos de 15 A con calibre 14 AWG para vivo y neutro, 14 AWG para el hilo de tierra, en tubería de 16 mm (1/2"), para alumbrado y contactos de uso general, en los que se suelen conectar aparatos de muy bajo consumo. Dividir el alumbrado en 2 o más circuitos evitará que en caso de una falla en alguno de ellos, nos quedemos sin energía eléctrica en toda la vivienda. Estos circuitos pueden servir para distribuir el alumbrado y los contactos de lugares como la sala o estancia, y las recámaras. En viviendas mayores a 90 m², aumentaría a más de 2 circuitos según el tamaño de la vivienda. En general se debe proyectar un circuito de alumbrado y contactos de uso general por cada 45 m² de área construida habitable.

  2. 2 circuitos de 20 A con calibre 12 AWG para vivo y neutro, 12 AWG para el hilo de tierra, en tubería de 16 mm (1/2"), para contactos que se usen en aparatos electrodomésticos pequeños y para el refrigerador. Éstos dos circuitos pueden estar distribuidos en el comedor, desayunador, cocina y otras áreas similares.

  3. 1 circuito de 20 A con calibre 12 AWG para vivo y neutro, 12 AWG para el hilo de tierra, en tubería de 16 mm (1/2"), para lavandería (espacio destinado a la lavadora de ropa) que alimente a un solo contacto o contactos dispuestos para lavandería. No puede alimentar otras cosas.


Para la realización de estos circuitos las cajas de registro y chalupa deben estar instaladas de manera profesional lo más al ras posible para que pueda utilizarse la tornillería que traen los accesorios, no deben saturarse con conductores ya que esto produce calentamiento.

Las tuberías tampoco deben saturarse con conductores, la Norma permite que se utilice el 40% de la sección transversal de una tubería, por ejemplo: en un tubo de 16 mm podrán alojarse cuando más dos circuitos como los aquí mencionados.

Para el entubado de estos circuitos en muros y techos, se suele utilizar tubería conduit de polietileno flexible, ya que por sus características y seguridad permite la versatilidad de la instalaciones eléctricas residenciales.

El centro de carga debe permitir que se instalen los circuitos derivados mínimos requeridos y debe tener holgura para futuras ampliaciones, por ejemplo, para el caso de la vivienda de 50 m² un centro de carga monofásico para 6 circuitos derivados sería apropiado. No debe instalarse en lugares ocultos, como alacenas, ni en lugares húmedos, como cuartos de baño o a la intemperie.

2013/05/23

8 consejos para el tendido de tubo conduit

Instalaciones eléctricas residenciales - Tendido de tubo conduit flexible en azotea

En esta ocasión te presentamos varias recomendaciones para el tendido de tubería conduit flexible, incluyendo la fijación de registros y bajadas, antes del colado de losas y estructuras de concreto. Estas recomendaciones son esenciales para poder realizar una instalación eléctrica segura, eficiente y de calidad.

Recuerda que en toda construcción debe existir un proyecto eléctrico en el que se determine la cantidad y el diámetro de las tuberías. Es importante hacer un buen proyecto eléctrico antes de construir, pues con frecuencia se inicia la obra sin tomar en cuenta nuestra opinión sobre la cantidad y el diámetro de los tubos conduit y los registros. Si el tendido de tuberías es deficiente, aun siendo electricistas calificados nos será imposible hacer un buen trabajo, porque no tendremos espacio suficiente para alojar la cantidad de conductores necesarios, lo que demerita la calidad y la funcionalidad de la instalación eléctrica.

  1. La primera recomendación es realizar un proyecto que considere los aspectos arquitectónicos y de instalaciones eléctricas, hidrosanitarias y de gas antes de construir; de lo contrario, terminada la obra civil, será necesario hacer ranuras en muros y losas, procedimiento que ocasiona daños a las estructuras. El proyecto eléctrico debe calcular la cantidad suficiente de tubos conduit y el diámetro adecuado de éstas, a fin de garantizar la canalización y la protección de los diferentes elementos de la instalación eléctrica.

  2. El tendido de la tubería conduit puede ir doble en caso de ser necesario; es mejor introducir doble tubería de 3/4" que una sola de mayor diámetro, ya que ésta puede debilitar la resistencia de las losas y de las estructuras de concreto que se fabrican cada vez más delgadas para reducir costos, sobre todo en construcciones de interés social. Por otra parte, si la tubería es demasiado gruesa, se dificulta la conexión a registros que rara vez tienen habilitadas las entradas para diámetros de 1". Adicionalmente, el factor de relleno (espacio de una tubería disponible para el cableado en relación con el espacio total interior) y el factor de corrección por agrupamiento son más severos en una sola tubería que si repartimos el cableado en dos tubos paralelos.

  3. Cuando los muros son de block hueco, es preferible introducir las tuberías desde que se está construyendo el muro (tal y como se hace con las varillas de los castillos ahogados) a tener que hacer ranuras después, porque el golpeteo y la vibración dañan los acabados (aplanados, azulejos y losetas, etc.) y otros elementos susceptibles.


  4. En losas y estructuras de concreto armado es muy conveniente usar tubo conduit flexible de 3/4", de preferencia extra resistente. Es muy importante asegurarnos de utilizar tubería conduit flexible de buena calidad, que garantice la resistencia al resistencia al aplastamiento, al impacto, a la humedad, al ataque de sustancias químicas, resistencia dieléctrica de aislamiento, resistencia a altas temperaturas, al esfuerzo de curvatura sin reducir más del 5% su diámetro interno y, en el caso de losas y muros de tablaroca, resistencia a la propagación del fuego.

  5. Si el tubo conduit quedara corto, puede unirse a otro tramo mediante coples. Esto permite ahorrar tiempo, esfuerzo, material y, por lo tanto, dinero.

  6. Otro aspecto importante es la sujeción de tuberías y registros a la cimbra (entarimado de madera o de metal para soportar el colado de concreto) o a las varillas del armado. La sujeción generalmente se hace con alambre recocido, pero es mejor el uso de cinchos de plástico o de rafia. El amarre debe ser firme sin excederse porque la tubería puede ahorcarse o reducir severamente su sección transversal, lo que ocasionaría problemas a la hora del cableado.

  7. También es muy importante proteger los registros y las entradas de las tuberías con los tapones de plástico, para evitar que el concreto las invada o las obstruya.

  8. Considerando que buena parte de nuestro éxito al realizar una instalación eléctrica depende del adecuado tendido de las tuberías y su cuidado en el momento del colado, es muy conveniente mantener buen trato con los albañiles y, de ser posible, estar presentes durante esta etapa de la construcción para asegurarnos de su buen manejo.

2013/05/22

Cálculo de una instalación eléctrica residencial monofásica de dos hilos

En entradas anteriores hemos presentado artículos de la NOM-001-SEDE vigente para el cálculo de los circuitos de una instalación eléctrica; esta ocasión nos dedicaremos a aplicar esos artículos, dando por hecho que tenemos conocimientos previos.

Esta vez realizaremos el cálculo de los conductores y diámetro de tubería de una instalación eléctrica residencial monofásica a partir de una carga previamente calculada.

Procedimiento:

Se tiene un proyecto de instalación eléctrica cuya carga total suma 4.5 kW.

Dado que la potencia demandada es menor a 5 kW, sabemos que es una instalación monofásica. Adicionalmente, consideraremos un factor de potencia (f.p.) de 0.9, un factor de demanda de 0.7 que se ubica en un lugar en el que la temperatura es aproximadamente de 33º.

Procedemos ahora a determinar la corriente:

P=4,900 W. (que es equivalente a 4.9 kW)

De la ley de Watt

Instalaciones eléctricas residenciales - Ley de Watt para corriente alterna

despejamos la corriente:

Instalaciones eléctricas residenciales - Intensidad de la corriente alterna de acuerdo a la Ley de Watt

Con los datos tenemos que:

Instalaciones eléctricas residenciales - Ejemplo de cálculo de corriente alterna usando la Ley de Watt

Aplicando el factor de demanda, la corriente (I2) es:

Instalaciones eléctricas residenciales - Fórmula para el cálculo de corriente eléctrica corregida por factor de demanda

Con lo datos obtenemos que:

Instalaciones eléctricas residenciales - Ejemplo de cálculo de corriente corregida por factor de demanda

De la tabla 310-16 de la NOM-001-SEDE vigente, buscamos un conductor tipo THW y lo encontramos en la columna de 75º. El conductor es de calibre 10 con 35 A de conducción y esto nos permite tener un buen margen de seguridad.

Instalaciones eléctricas residenciales - Tabla de capacidad de conducción de corriente por temperatura

Sin embargo, la tabla indica que estos valores son para temperatura ambiente de 30º, por lo que debemos aplicar el factor de corrección que se muestra en la segunda sección de la tabla 310-16. De aquí seleccionamos el factor de corrección adecuado a la temperatura ambiente que tenemos.

Instalaciones eléctricas residenciales - Tabla de corrección por temperatura para conductores eléctricos

Esta tabla nos indica que para una temperatura ambiente distinta a 30 ºC, debemos aplicar el factor de corrección a la capacidad de conducción de corriente seleccionada anteriormente. Entonces, si la capacidad de conducción del conductor THW calibre 10 a 75 ºC fue de 35 A, al aplicar el factor de corrección obtenemos una capacidad de conducción real (IRC).

Resulta evidente que existe una disminución real de la conducción de corriente para cualquier conductor a temperatura ambiente distinta a 30 ºC.

Entonces si comparamos la IRC y la I2, notaremos que la conducción del conductor calibre 10 aún está por arriba de la corriente I2, y daremos por entendido que es el correcto para el alimentador principal.

La siguiente parte consiste en considerar todavía el factor de corrección por agrupamiento, el cual depende directamente del número de conductores alojados en la tubería, ya que al estar juntos generan calor y éste influye también sobre la capacidad de conducción del conductor eléctrico.


Supongamos que por necesidad están alojados los 2 conductores alimentadores principales de calibre 10 en cualquier tramo de la tubería, pero además están alojados otros 6 conductores, de los cuales 4 son calibre 12 y los otros 2 de calibre 14. En total son 8 conductores. Utilizaremos la tabla 310-15(g).

Instalaciones eléctricas residenciales - Factores de ajuste por agrupamiento

Como notamos, se presenta una disminución en la capacidad efectiva de conducción a un 70% para conductores en estas condiciones de agrupamiento, entonces, la capacidad del conductor seleccionado, que ya se había reducido a 32.9 por el factor de corrección por temperatura, se reduce a:

Instalaciones eléctricas residenciales - Ejemplo de factor de corrección por agrupamiento

Este resultado nos indica que el calibre seleccionado bajo estas condiciones no resulta correcto por lo que tendremos que seleccionar un nuevo calibre de la tabla 310-16, éste puede ser el No. 8, porque está diseñado para conducir hasta 50 A a 75 ºC como temperatura máxima de operación.

De esta manera hacemos los cálculos correspondientes para comprobar que es el calibre correcto. Primero aplicamos el factor de corrección por temperatura:

Instalaciones eléctricas residenciales - Ejemplo de factor de corrección por temperatura 2

Ahora aplicamos el factor de agrupamiento:

Instalaciones eléctricas residenciales - Ejemplo de factor de agrupamiento

El resultado es 32.9 A, que cubre en buena manera la corriente I2 que fue de 31.76 A.

En conclusión, para este caso utilizamos 2 conductores (cable de fase y cable neutro) calibre 8 a 75 ºC como temperatura máxima de operación. Si queremos colocar un conductor adicional para la conexión a tierra en todos los contactos y aparatos que lo requieran, tenemos que llevar un conductor calibre 10 en color verde desde el interruptor principal, considerando una protección con interruptores termomagnéticos de 30 A, según tabla 250-95 de la norma.

Instalaciones eléctricas residenciales - Tabla tamaño de conductores de puesta a tierra

La siguiente parte consistirá en calcular el diámetro de la tubería, con la consideración anterior de los 8 conductores comunes más el conductor de tierra. Tenemos en total 9 conductores de los siguientes calibres: calibre 8 (dos); calibre 10 (uno), calibre 12 (cuatro) y calibre 14 (dos).

Iniciamos sumando las áreas de los conductores:

Instalaciones eléctricas residenciales - Cálculo de diámetro de tubos conduit

Ahora usando la tabla 10-1 para diámetros de tubería:

Instalaciones eléctricas residenciales - Factores de relleno en tubo conduit

El área de ocupación es del 40% para más de dos conductores. Usando la tabla 10-4 correspondiente a las dimensiones de tubo conduit, observamos que la designación 21, es decir, tubería de 3/4 puede alojar hasta 137 mm² de lo que concluimos que éste es el diámetro adecuado, no sin antes mencionar que es posible usar una tubería de mayor diámetro, por ejemplo, designación 27 correspondiente a 1 pulgada.

Instalaciones eléctricas residenciales - Dimensiones de tubo conduit metálico y conductores

Espero que esta explicación sea de utilidad en el desarrollo de tu trabajo. Continuaremos abordando la NOM-001-SEDE vigente en el próximo entradas de este blog.

2013/05/21

9 medidas que se deben tomar para tener una instalación eléctrica segura

Aprende a prevenir dos de los principales riesgos que implican las instalaciones eléctricas en el hogar: descargas a través del cuerpo humano e incendios.

Descarga a través del cuerpo humano

Si una persona sin equipo de protección toca uno de los polos de una instalación eléctrica, ya sea el cable de fase o el neutro en circuito cerrado, la energía eléctrica se descargará a tierra a través de su cuerpo. En cambio, si el contacto se realiza simultáneamente con los dos polos (cable de fase-neutro), el cuerpo de la persona servirá para cerrar el circuito.

Instalaciones eléctricas residenciales - Electrocución

La magnitud del daño producido por una descarga eléctrica depende de la intensidad de la corriente, de la duración de la misma y de la trayectoria recorrida en el cuerpo, dado que en el momento de la descarga eléctrica el cuerpo pasa a formar parte del circuito. También hay que tener en cuenta otros factores, tales como su mayor o menor conductividad; por ejemplo, la humedad de la piel hace que la resistencia al paso de la corriente disminuya, es decir, el cuerpo humano se vuelve mejor conductor. El peligro de muerte es mayor cuando la corriente eléctrica atraviesa órganos vitales del cuerpo en su recorrido; en el corazón ocasiona la fibrilación (arritmia cardiaca), en pulmones y sistema nervioso puede ocasionar paro respiratorio.

Generación de incendio o explosión

Se ha visto que uno de los fenómenos que acompaña el paso de corriente a través de un conductor es la producción de calor, que es proporcional a la magnitud de la resistencia del conductor. Si este fenómeno se produce en instalaciones eléctricas de gran resistencia, se lleva al aumento de la temperatura en un área, lo que es particularmente peligroso si en ella existen materiales fácilmente inflamables.

Instalaciones eléctricas residenciales - Principio de incendio en instalación eléctrica

En una vivienda, la alta resistencia en las instalaciones eléctricas se da con frecuencia cuando ésta tiene más de 15 años de antigüedad, por el deterioro de los conductores, apagadores, contactos, falsos contactos, entre otros problemas.


A continuación de presentamos medidas de seguridad para implementar en las instalaciones eléctricas residenciales:

  1. Al realizar una instalación eléctrica se debe tener en cuenta los peligros antes mencionados: descarga eléctrica e incendio o explosión.

  2. Las instalaciones y los equipos eléctricos deben construirse evitando los contactos con fuentes de tensión y previendo la producción de incendio. Al seleccionar los materiales que se emplearán hay que considerar la tensión a que estarán sometidos.

  3. La instalación y puesta en funcionamiento de equipos eléctricos debe realizarse por personal capacitado y con experiencia. En el caso del equipo eléctrico, la restricción puede lograrse ya sea cercando el lugar peligroso o instalándolo en lugares elevados o en locales separados a los que sólo tenga acceso el personal autorizado.

  4. Al instalar los equipos eléctricos debe dejarse espacio suficiente alrededor de los mismos para permitir el trabajo y el acceso a todas las partes del equipo para su reparación, regulación o limpieza.

  5. Los conductores tienen que estar señalados adecuadamente para que sea fácil seguir su recorrido.

  6. Los conductores deben seleccionarse con el aislamiento correcto para el ambiente en el cual se pretende instalarlos.

  7. Es importante que los conductores que no sean para instalarse en la intemperie o expuestos, se alojen dentro de tubos conduit, ya que la función de éste es protegerlos. Evita instalar equipos de aire acondicionado utilizando cordón de uso rudo; recuerda que este conductor es para instalaciones provisionales y no debe quedarse permanentemente expuesto al sol.

  8. Es necesario que los dispositivos de protección estén instalados en lugares secos y de fácil acceso.

  9. Para realizar trabajos de reparación o modificación debe cortarse la energía eléctrica.

Te recomendamos revisar tu instalación eléctrica, a fin de detectar posibles riesgos que pongan en peligro tu integridad, la de tu familia y tu patrimonio.

2013/05/20

La caída de tensión

Instalaciones eléctricas residenciales - Líneas de distribución

La caída de tensión es un fenómeno que se presenta en los conductores eléctricos cuando alimentan una carga a cierta distancia del punto de alimentación. Esto quiere decir que cuando se suministra energía eléctrica a una distancia considerable, la tensión en el punto de conexión de alimentación y la tensión en el punto de conexión en la carga son diferentes.

La caída de tensión puede presentarse del transformador a la vivienda, y en ésta, del punto más cercano al punto más alejado del interruptor principal.

Una forma sencilla de determinar la caída es medir con un multímetro la tensión en el contacto que esté más cerca del interruptor principal de una vivienda, y después hacer la misma medición en el contacto más alejado.

Instalaciones eléctricas residenciales - Medición de tensión eléctrica con multímetro

Notaremos que la tensión es mayor en el lugar más cercano al interruptor principal que en el más alejado. Hay que considerar que la tensión varía constantemente, por lo que a veces es necesario promediarla. Si sucede lo contrario, se debe a alguna equivocación en las lecturas o a una instalación incorrecta.

Si la diferencia es grande (10 ó 15 V), habrá problemas en los equipos o electrodomésticos que estén instalados; por el contrario, si la diferencia es pequeña (2 ó 3 V), la instalación será confiable y eficiente.

En las instalaciones eléctricas residenciales bien hechas, la diferencia entre los voltajes no debe exceder los 2 ó 3 V desde la entrada de la vivienda hasta la última habitación. Habrá viviendas pequeñas en las que la tensión sea la misma en estos dos puntos. Actualmente, la compañía suministradora de electricidad debería proporcionar una tensión de alimentación de 120 V. En realidad esto no ocurre a menos que el transformador que alimenta la zona esté frente a nuestra casa.

Este transformador, que es el alimentador general para un conjunto de viviendas, regularmente se ubica a 10, 20, 30, 50, 80 ó más metros, por lo que se recurre a líneas de distribución, aéreas o subterráneas, que llevan la energía eléctrica a todas las viviendas, utilizando conductores eléctricos colocados en postes, o bien, tuberías especiales de polietileno cuando las líneas de distribución son subterráneas en las grandes ciudades.

En cualquier caso hay conductores eléctricos que van del transformador a una vivienda.

Si la distancia entre el transformador y la vivienda es muy grande, el conductor utilizado para hacer llegar la energía eléctrica también será muy extenso así que existirá una mayor caída de tensión.

Todos los aparatos eléctricos están diseñados para funcionar a tensiones ligeramente inferiores o superiores a la que se especifica en la placa de datos.

Si un aparato estuviera conectado al contacto más alejado del interruptor principal de la vivienda con una tensión de 100 V, éste no funcionaría óptimamente; por ejemplo, si se tratara de una lámpara, la intensidad luminosa sería menor aunque no se percibiría a simple vista; si se tratara de un aparato que tuviera motor, el rendimiento de éste sería menor y podría incluso detenerse o sobrecalentarse (esto se explicará más adelante); y si se tratara de una televisión tipo TRC, la imagen se reduciría en la pantalla.

Sin embargo, con las cargas eléctricas que realizan un trabajo, es decir, que necesitan cierta cantidad de energía entregada a la carga, la condición es especial. Por ejemplo, una cafetera eléctrica necesita cierta cantidad de energía para que el agua alcance el punto de ebullición en un tiempo determinado.

Si las especificaciones técnicas para una cafetera eléctrica son 127 V~ 1200 W de tensión y de potencia nominal respectivamente, el valor de la resistencia total del aparato se define de la siguiente manera:

Instalaciones eléctricas residenciales - Ley de Ohm y Ley de Watt

Donde:
P= Potencia eléctrica en watts
E= Tensión eléctrica en volts
R= Resistencia
f.p.= Factor de potencia
Nota. El factor de potencia para elementos resistivos es la unidad.

Sustituyendo la corriente de la ley de Ohm en la de Watt, se tiene:

Instalaciones eléctricas residenciales - Fórmula de potencia eléctrica

Despejando R se obtiene:



Con los datos del ejemplo:

Instalaciones eléctricas residenciales - Ejemplo de cálculo de resistencia eléctrica

Una vez determinada la resistencia de la cafetera con base en los datos de placa (que según el fabricante son las condiciones óptimas de operación), comparemos la potencia consumida con una tensión menor a la indicada en la placa de datos.

La potencia a 127 V es 1200 W.

Si tenemos una tensión real de 115 V, la potencia disminuye dado que


Lo cual nos indica que la potencia a 115 V es 18% menor que la potencia a 127 V. Esta reducción en la potencia debida a una tensión menor que la nominal repercutirá en un tiempo mayor de operación de la cafetera.

Retomando el tema del motor eléctrico, si tenemos un molino de café, la fuerza o torque necesarios para triturar determinada cantidad de grano depende directamente de la potencia eléctrica suministrada al motor.

La ley de Watt mencionada anteriormente fue P = E x I x f.p. Para el torque del motor es P = T x K donde:
P= Potencia en watts
E= Tensión en volts
I= Corriente en amperes
f .p. = factor de potencia
T= Torque o fuerza del motor en newton-metros [Nm]
K= Eficiencia del motor/9550

Igualando ambas expresiones tenemos la siguiente relación:

Instalaciones eléctricas residenciales - Fórmula para el torque de un motor

Por lo tanto el torque es:

Instalaciones eléctricas residenciales - Fórmula para el torque de un motor electrico

En este caso resulta evidente que la fuerza del motor varía directamente con respecto a la tensión E. Si la tensión es la nominal, se tendrá el torque nominal; si la tensión se reduce, el torque disminuye y la corriente demandada aumenta provocando calentamiento en los conductores de alimentación, los devanados del motor se sobrecalientan, es decir, el sistema eléctrico se vuelve inestable llegando al punto de accionar la protección contra sobrecorriente. Si las protecciones no están bien dimensionadas o la coordinación de protecciones no es correcta, el sistema eléctrico puede llegar incluso a generar un incendio.

Cuando hay caídas de tensión importantes, se recomienda dimensionar nuevamente la instalación eléctrica antes de que ocurra un problema más grande.

Dos maneras de solucionar este problema son:

    1. Cambiar los conductores por unos de mayor calibre.

    2. Dividir la carga en varios circuitos.

Recuerda que la caída de tensión puede ser:

  1. Del transformador a la vivienda

  2. Del punto más cercano al punto más alejado del interruptor principal dentro de la vivienda, debido a que las longitudes del conductor se van incrementando.

En conclusión se puede decir que para una determinada corriente eléctrica, a mayor longitud del conductor, mayor resistencia, por lo tanto mayor caída de tensión.

instalaciones

eléctricas

residenciales

Uso cookies para darte un mejor servicio.
Mi sitio web utiliza cookies para mejorar tu experiencia. Acepto Leer más